728x90
numpy란?
python 언어에서 기본적으로 지원하지 않는 배열(array) 또는 행렬(matrix)의 계산을 쉽게 해주는 라이브러리.
머신러닝에서 많이 사용하는 선형대수학에 관련된 수식들을 python에서 쉽게 프로그래밍할 수 있게 해 준다.
최댓값, 최소값, 평균값, 중앙값, 최빈값, 분산값, 표준편차, 공분산값, 상관계수의 통계값등을 출력 할 수 있다.
예제) 아래의 행렬을 numpy array로 생성하시오.
1. 리스트
a = [[2,4],[5,7]]
2. numpy array 이용
import numpy as np
a = np.array([[2,4],[5,7]])
print(a)
문제. 아래의 행렬의 합을 numpy로 구현하시오.

import numpy as np
a = np.array([[1,2],[3,4]])
b = np.array([[2,3],[1,4]])
print (a+b)
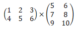
문제. 아래 행렬의 곱을 numpy로 구현하시오.

import numpy as np
a = np.array([[1,2,3],[4,5,6]])
b = np.array([[5,6],[7,8],[9,10]])
print (np.dot(a,b))
문제. 리스트에서 최대값, 평균값, 중앙값을 구하시오.
a = [28, 23, 21, 29, 30, 40, 23, 21]
import numpy as np
a = [28, 23, 21, 29, 30, 40, 23, 21]
a = np.array(a) #numpy array로 변환
print(np.max(a)) # 최대
print(np.mean(a)) # 평균
print(np.median(a)) # 중앙값